-
최고가밀봉경매Game Theory 2022. 6. 5. 10:24
최고가밀봉경매는 입찰자들이 상대방들의 가격(전략)을 모르는 상태에서 자신의 가격(전략)을 결정하는 불완비정보하의 동시게임이다.
상황
- 경기자: 1,2 가치평가액 $v_i \sim U[0,1]$
-> 경매에 1,2가 참가하고 각 경기자는 경매물품에 대한 자신들만의 가치평가액 $v_i$를 가지고 있으며 $v_i$는 균일분포에서 결정된다.
- 상대방보다 가격이 높을시 물건을 휙득, 가격이 같을 시에는 1/2 확률로 물건을 휙득한다.
- 물건을 휙득시에는 자신의 입찰액 $b$를 지불한다.
- 보수구조는 아래와 같다.
1. 물건을 휙득시: $v-b$ (자신이 물건에 평가한 가치 평가액)-(자신이 실제로 지불한 금액)
2. 물건을 휙득 실패시: 0
- 각 경기자들은 선형전략을 취한다고 가정한다.
선형전략 $b=kv$ $(0\le k \le 1)$
-> 가치평가액 $v$을 전체로 했을 때 어느 정도의 $k$까지 $b$로 할지로 결정하는 전략이다.
예를 들어 100원짜리로 평가한 물건가격에 반(0.5)에 해당하는 가격(50)으로 사고 싶으면 $v=100$, $k=0.5$, $b=50$ 이다.
게임의 구조
위의 최고가밀봉경매 상황을 게임의 구조로 나타내면 다음과 같다.

게임의 균형 찾기
기대보수함수 구하기
경기자 1의 입장에서는 자신의 경매물건에 대한 평가금액 $v_1$은 알고 있으나 상대의 평가금액 $v_2$는 모른다.
따라서 기대보수함수를 계산해야한다.
기대보수함수는 자신의 평가금액 $v_1$을 알고 있을 때, 입찰금액 $b_1$을 써서 내면 얼마의 보수를 얻을 수 있을까에 대한 함수이다.

이때 $b_1=b_2$일 확률은 연속확률분포상에서 같은 값을 가지는 경우이다.
하지만 연속확률분포가 특정값을 척도로 가질 확률은 0이므로 비길경우의 기대보수는 0이다.
또한 졌을때의 보수가 0이므로 기대보수는 0이다.
따라서 기대보수함수는 이겼을때의 경우로만 결정된다.

이 상황에서 각 경기자는 선형전략을 취한다고 하였으므로 $b_2=kv_2$로 나타낼 수 있다.

위의 식에서 $b_1$는 나의 입찰가격, $k$는 선형전략 계수로 상수이다. 따라서 $v_2$가 변수인 확률밀도함수이다.
$v_2$는 균일분포에서 결정되므로 $Prob(b_1>kv_2)=Prob(b_1/k>v_2)$로 나타내면 아래 그림과 같이 계산된다.

따라서 경기자1의 기대보수함수는 아래와 같다.

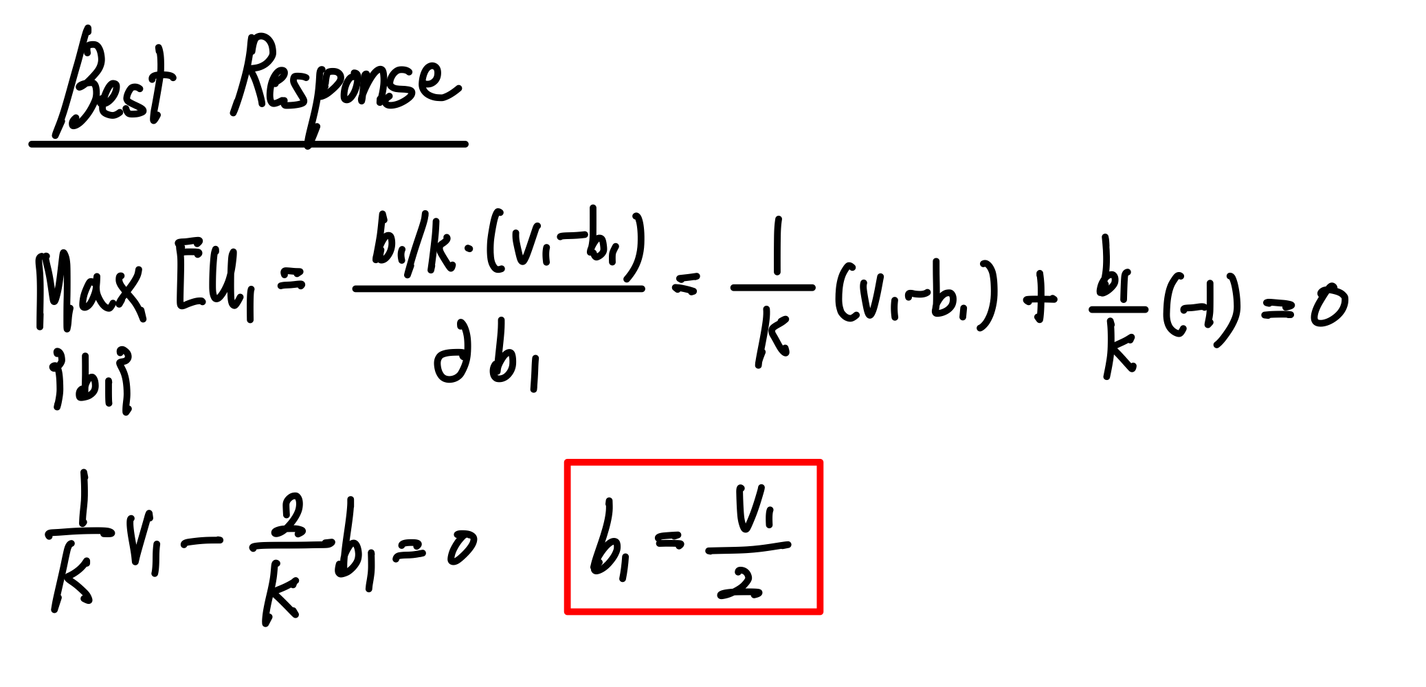
최적대응 찾기
자신의 기대보수를 최대화하는 입찰가 $b_1$을 일계조건을 이용해 미분하여 찾는다.

경기자1의 최적대응은 자신의 경매품에 대한 가치($v_1$)에 절반(k=0.5)을 입찰가($b_1$)로 제시하는 것이다.
게임이 경기자 1,2에 대해 대칭 구조를 가지고 있으므로
경기자1의 최적대응은 자신의 경매품에 대한 가치($v_2$)에 절반(k=0.5)을 입찰가($b_2$)로 제시하는 것이다.
따라서 베이지안 내쉬 균형은 아래와 같다.

Bid Shading
Bid Shading이란 입찰자들이 자신의 물건에 대한 가치평가액보다 낮은 가격으로 입찰을 하는 현상을 말한다.
위에서 도출한 균형에서도 입찰자들은 자신의 가치평가액의 절반만을 입찰가를 제시함으로서 bid shadding 일어나는 것을 알 수 있다.
왜 Bid Shading이 일어나는가?
기대보수함수를 구성하는 두가지의 인자가 서로에게 상충관계(trade-off)이기 때문이다.

입찰가격을 높이면 낙찰확률은 증가하지만 낙찰시 얻는 이익이 감소한다. 따라서 두개의 인자의 절충점에서 입찰가가 형성된다.
Bid Shading을 줄이기 위해서는?
참가 입찰자수($n$)를 증가시키면 더 높은 가치평가액($v_i$)을 가지는 입찰자의 수 또한 증가한다.
따라서 낙찰확률($Prob(b_1>b_2)$)이 감소하기 때문에 낙찰확률을 올리기 위해서 입찰가격(b_1)을 높인다.
결과적으로 Bid Shadding이 감소하는 효과를 가져온다.
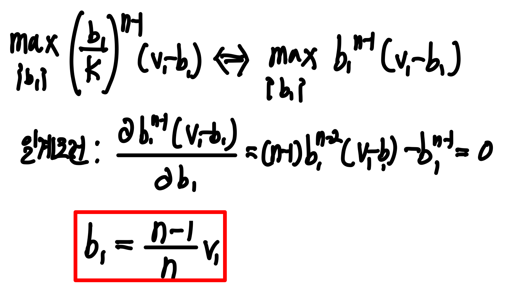
- 입찰자가 $n$명인 경우의 1의 기대보수함수

$v_i$가 균일분포상에서 독립적으로 결정되며 모두 선형전략 $b_i=kv_i$을 따르므로 낙찰확률은 아래와 같이 나타낼 수 있다.

위에서 도출한 것과 같이 확률밀도함수에서 확률값은 아래와 같다.

따라서 자신을 제외한 경기자들보다 더 높은 입찰가를 제시할 확률은

위의 기대보수함수를 최대화하는 입찰가 $b_1$은

위의 균형에서 $n$이 증가할수록 $v$의 많은 부분을 $b_1$으로 제시할 것이라는 것을 알 수 있다.
따라서 입찰자 수가 증가할수록 bid shading이 감소하는 것을 확인 할 수 있다.
'Game Theory' 카테고리의 다른 글
수입동등정리와 승자의 저주 (0) 2022.06.07 차최고가 밀봉 경매 (0) 2022.06.07 경매(auction)의 개념 (0) 2022.06.04 불완비정보하의 쿠르노 모형 (0) 2022.06.01 불완전정보와 베이즈 균형 (0) 2022.05.31