-
불완비정보하의 쿠르노 모형Game Theory 2022. 6. 1. 16:51
불완비 정보하의 쿠르노 모형은 쿠르노 모형에서 기업의 생산기술,비용구조에 대한 정보의 비대칭성이 존재하는 경우를 분석한 모형이다.
게임상황
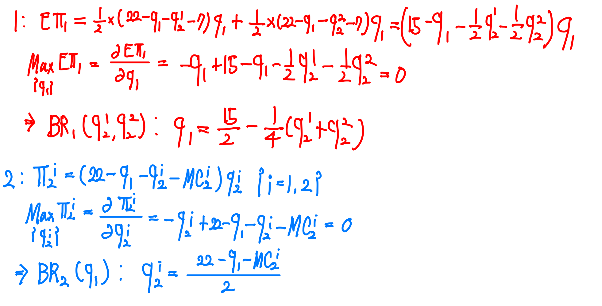
- 시장수요: $P=22-Q$ ($Q=q_1+q_2$)
- 한계비용: $MC_1=7, MC_2= 1 \,or\, 13 (각각 \frac{1}{2} 확률)$
- 기업 1 ,2 는 전략으로 자신의 생산량을 결정
- 기업 1은 기업 2의 비용구조에 대한 정보가 없어 비대칭 정보인 상황
-> 기업1이 불완비 정보하에 놓여 있기 때문에 하시니의 자연 개념을 이용하여 확률적으로 상대의 비용구조에 대해서 자연이 결정해주어
불완전 정보 상태로 바꾸어 생각한다.

게임분석

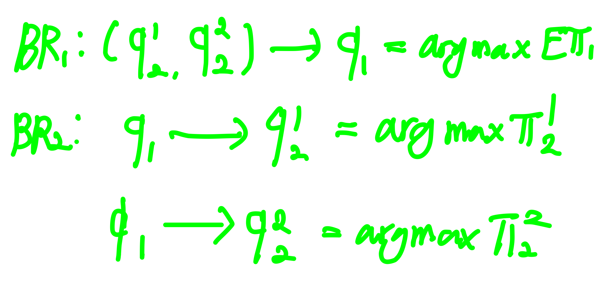
균형찾기
기업 1은 임의의 $q_2^1,q_2^2$가 주어졌을 때 자신의 기대보수 $E\Pi_1$을 극대화하는 것이 목적이다.
기업 2는 $q_1$에 대하여 자신의 비용구조 $MC_2^1,MC_2^2$를 고려하여 보수 $\Pi_2^1,\Pi_2^2$를 극대화하는 것이 목적이다.


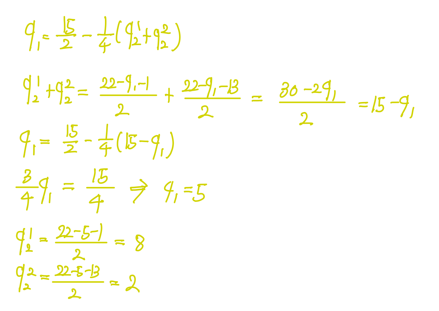
최적대응을 이용하여 구한 위의 세식을 연립하면 균형을 도출할 수 있다.

베이지안 균형

'Game Theory' 카테고리의 다른 글
최고가밀봉경매 (0) 2022.06.05 경매(auction)의 개념 (0) 2022.06.04 불완전정보와 베이즈 균형 (0) 2022.05.31 반복게임과 방아쇠 전략 (0) 2022.05.30 신빙성과 자기구속 (0) 2022.05.30