-
Stackelberg 산출량 경쟁모델Game Theory 2022. 5. 24. 17:41
동태적 게임으로서 과점시장의 분석
1. 기업들이 가격,산출량등을 순차적으로 결정하는 상황을 모델링한다.
2. 시장에 앞서나가는 선도기업의 전략(가격,산출량)등을 관측하고 후발기업이 이를 참고하여 전략을 결정하는 상황에서 유용한 모형
3. 순차적 게임으로서 Subgame Perpect Nash Equilibrium(부분게임완전균형)을 이용하여 균형을 도출한다.
게임 상황 분석
1. Player: 기업 1, 기업2
2. Strategy: $q_i\in \mathbb{R}^+$ $\{i=1,2\}$ ( 각 기업의 전략은 양의 실수 범위내에서 생산량 $q$를 결정하는 것이다.)
3. Pay-Off: $\Pi_i=(P(Q)-c)q_i$
- $P(Q)=a-bQ$는 가격함수로 두기업의 생산량의 합 $Q=q_1+q_2$에 따라 결정된다
- 두 기업의 비용함수는 $c(q_i)=cq_i$으로 각 기업의 생산량에 비례해서 증가한다.
- 가격에서 비용을 뺀것을 생산량에 곱하면 각 기업의 총이윤을 얻을 수 있다.

위의 그림을 통해 게임상황을 간략히 나타낼 수 있다.
Player 1이 생산량 $q_1$을 결정하면 이를 관측하고 Player 2는 $q_1$에 대해서 자신의 이익을 최대화할 수 있는 생산량 $q_2$를 선택하면 게임에서 각 경기자의 보수 $\Pi_1,\Pi_2$가 정해진다.
균형 도출 과정
1. 관측한 $q_1$에 대하여 Player 2의 최적대응(Best Response)를 구한다.

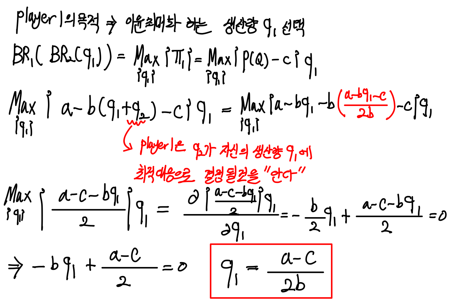
2. 동태적게임에서 후방귀납법을 이용하면 Player 1은 자신의 생산량 $q_1$에 대하여 Player 2가 위와 같이 행동할 것을 알고 있다.
따라서 $BR_2(q_1)$에 대하여 자신의 이윤을 최대화 시킬 수 있는 전략을 사용할것이다.

3. Back induction(후방귀납법)을 이용해서 각 플레이어들의 생산량이 결정되었다. 이를 토대로 부분게임균형을 도출한다.

4. 균형에서 각 기업의 이윤은 이윤함수에 균형시 각 기업의 생산량을 넣어서 구할 수 있다.

위의 모형에 따르면 동태적 게임으로서 기업들이 경쟁시 시장의 선도기업이 더 많은 생산량을 가지고 더 큰 이익을 얻음을 알 수 있다.
'Game Theory' 카테고리의 다른 글
지네게임 (0) 2022.05.30 순차협상 (0) 2022.05.25 부분게임 완전균형 (0) 2022.05.02 혼합전략균형의 응용 (0) 2022.04.26 혼합전략균형 (0) 2022.04.24