-
수치적분Math♾️/Numerical Analysis 2022. 6. 3. 11:17
수치적분이 필요한 이유?

일반적으로 적분을 수행할 때는 위와 같이 피적분함수가 주어져 해석적으로 적분이 가능하다.
하지만 아래와 같이 현실에서 실험이나 관측을 통하면 이산적인 성격을 갖는 데이터를 얻게 된다. 이를 적분하기 위해서는 수치적 방법이 필요하다.

Rectangle method
적분 대상이 되는 함수의 영역을 직사각형에 근사시켜 적분값을 구하는 방법이다.

위와 같이 원래의 피적분함수의 적분값과 상당한 오차를 가지는 것을 알 수 있다. 이것을 최소화 하기 위해서는 어떻게 해야할까?
Composite rectangle method
전구간에 대하여 $x=a$ 의 함수값 $f(a)$ 또는 $x=b$의 함수값 $f(b)$를 이용하게 되면 사용한 $x$값과 멀어지면 높이로 사용하는 함수값 $f(x)$의 오차가 커지게 된다. 따라서 하나의 함수값만 이용하는 것이 아니라 구간을 잘게 나누어 각 직사각형에 맞는 높이를 이용하게 되면 오차를 줄일 수 있다.

전체구간을 같은 길이의 작은 구간 $h=\frac{b-a}{N}$으로 나눈 뒤 이를 밑변으로 하는 각 작은 구간에 대하여 $f(x_i)$ 또는 $f(x_{i+1})$를 높이에 대응시켜 직사각형에 근사시키는 방법이다.
Midpoint Method
위에서 각 구간의 왼쪽이나 오른쪽 끝 값의 함수값을 높이로하는 직사각형에 근사하는 것과 달리
Midpoint Method는 각 구간의 중점에 함수값을 높이로하는 직사각형에 근사시키는 방법이다.

Trapezodial Method
적분 대상이 되는 함수의 영역을 사다리꼴에 근사시켜 적분값을 구하는 방법이다.

Composite Trapezoidal Method
전체구간을 같은 길이를 갖는 작은 구간 $h=\frac{b-a}{N}$으로 나누고 각 작은 구간의 영역을
사다리꼴에 근사시켜 구한 값을 합치는 방법이다.

Simpson's method
사다리꼴 방법은 피적분함수를 사다리꼴에 근사시킨다. 따라서 근사시킨 영역의 윗부분은 항상 직선(선형함수)의 형태를 가진다.
따라서 이로인한 오차가 발생하는데 심슨 방법은 피적분함수를 곡선(비선형 함수)에 근사시켜 적분의 오차를 감소시킨다.

Simpson's 1/3 method
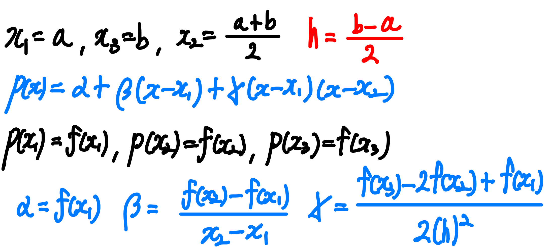
적분하고자 하는 범위에서 피적분함수를 2차 다항함수에 근사시켜 적분값을 구하는 방법이다.


구간에 양끝점과 중점의 함수값을 지나는 이차곡선을 구한다.
1. 이차다항식의 일반식을 구한다. 이때 각 계수 $\alpha,\beta,\gamma$가 미지수로 나타난다.
2. 이차함수에 지나는 점 $(x_1,f(x_1)),(x_2,f(x_2)),(x_3,f(x_3))$을 대입하여 각 계수 값을 구한다.
3. 구한 계수 값을 $P(x)$에 대입하여 얻은 2차 곡선에 적분하고자하는 $f(x)$를 근사시켜 적분값을 구한다.

Composite Simpson's 1/3 method

적분구간을 작은 구간으로 나누어 각 구간에 대하여 Simpson's 1/3 rule을 적용한다.
작은 구간 $i$에 대해서 적용하면 아래의 수식과 같다.

모든 작은 구간에 대하여 적용하고 각 구간을 더하면

전체 구간의 양끝점인 $a,b$는 한번만 나오고 짝수번은 네번 홀수번은 두번씩 나오는 것을 볼 수 있다. 이를 일반화 하면

Simpson's 3/8 method
적분하고자 하는 범위에서 피적분함수를 3차 다항함수에 근사시켜 적분값을 구하는 방법이다.


1. 3차 다항식의 일반식에 미지수 $c_0,c_1,c_2,c_3$를 $y=f(x)$상에 있는 $P(x)$가 지나는 점을 대입하여 구한다.
2. 적분하고자하는 함수 $f(x)$를 $P(x)$에 근사시켜 적분을 수행하면 아래와 같이 나타난다.

Composite Simpson's 3/8 method
적분구간을 작은 구간으로 나누어 각 구간에 대하여 Simpson's 3/8 rule을 적용한다.



'Math♾️ > Numerical Analysis' 카테고리의 다른 글
유한차분법 (0) 2022.05.24 Solving Nonlinear Equations 05 - Newton's Method for Solving a System of Nonlinear Equations (0) 2022.04.17 Solving Nonlinear Equation 04-Muller's Method (0) 2022.04.17 Solving Nonlinear Equations 03 - Fixed-Point Iteration Method (0) 2022.04.16 Solving Nonlinear Equations 02- Newton Raphson Method (0) 2022.04.16